Today, Monday January 19, 2026, is Blue Mondaythe third Monday in January which for about twenty years has been passed off as the “sadest day of the year”. But is it really like that? Spoilers: no. The theory according to which on the third Monday of January there would be a peak of melancholy caused by the return to routine after the Christmas holidays and the winter cold is, in reality, the result of a marketing strategy.
In 2005, in fact, the psychologist Cliff Arnallprofessor at Cardiff University, formulated an equation – without scientific basis – which indicated the third Monday of the year as the saddest day of the 12 months. However, this formula was used to relaunch the sales of a travel agency, Sky Travelwith the aim of increase bookings leveraging the sadness of that day.
Even today, Blue Monday is an opportunity for businesses to give vent to new marketing campaignsin a month in which consumption contracts after the holiday boom.
The marketing behind Blue Monday
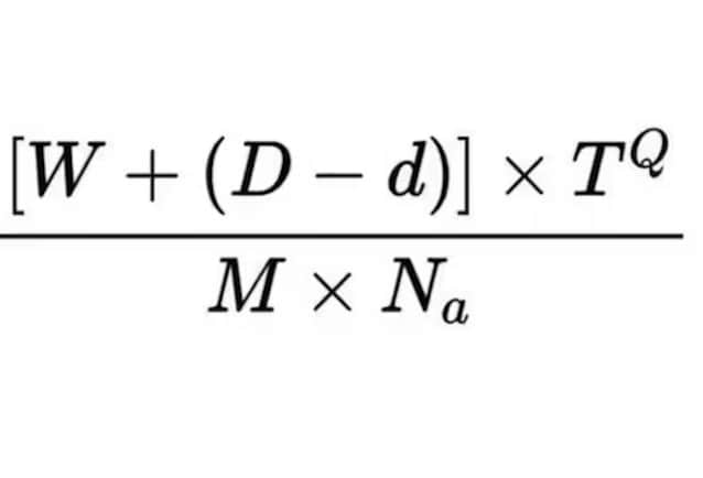
As anticipated, the concept of Blue Monday is attributed to Cliff Arnallpsychologist and professor at Cardiff University, who spoke about it for the first time in 2005 in an article published in The Guardian. Specifically, Arnall wrote that he had formulated an equation capable of demonstrating why the third Monday of the year was the most depressing day of the year. There formulashown below, took into account factors such as weather conditions (W), debt (D), time since Christmas (T).

But the theory about Blue Monday became famous thanks to the intuition of a communications agencywhich took up Arnall’s equation in a press release with the aim of increasing the sales of one of its clients, the travel agency Sky Travel, taking advantage of the presumed sadness of that day to push consumers to buy a holiday.
This marketing strategy has actually led to spread of Blue Monday globallywhich then became a central topic even in the international press.
Because Blue Monday has no scientific evidence
The theory that Blue Monday is the saddest day of the year is actually pure pseudoscience. The famous Arnall equation, in fact, is composed of variables without scientific foundations solid and not measurable with precision. In fact, as highlighted by experts, happiness is an extremely complex process to measure, which cannot be reduced to a simple mathematical formula. It is no coincidence, therefore, that Cardiff University itself has distanced itself from Arnall and his study.
In short, Blue Monday is nothing more than a marketing gimmick to push us to buy more in an attempt to make up for a “sadness” which, in reality, it is not tied to that single day.
